cad»Ò»¸öÔ²ÓëÁíÁ½Ô²ÄÚÇС¢ÍâÇÐ
CADÊÇǿʢµÄ»æÍ¼Èí¼þ£¬£¬£¬£¬£¬£¬£¬£¬¹¦Ð§ºÜÊǵĶàÑù»¯¡£¡£¡£¡£¡£ÔÚCADÖÐÔ²ÓëÔ²Ö®¼äµÄÍâÇУ¬£¬£¬£¬£¬£¬£¬£¬ÄÚ½Ó¶ÔÐÂÊÖÀ´Ëµ¿ÉÄÜÓеãÖØ´ó£¬£¬£¬£¬£¬£¬£¬£¬½ñÌìС±à¾Í¸ø¸÷È˽â˵һÏÂÏêϸµÄ°ì·¨¡£¡£¡£¡£¡£
ÒªÁì/°ì·¨
1.ÎÒÃÇÔÚ»æÖƱ£´æÁ½¸öÇеãµÄ¹«ÇÐÔ²µÄʱ¼ä£¬£¬£¬£¬£¬£¬£¬£¬Ñ¡ÔñÔ²¹¤¾ß£¬£¬£¬£¬£¬£¬£¬£¬ÈçͼËùʾ£¬£¬£¬£¬£¬£¬£¬£¬¿ÉÒÔ¿´³öÔ²¹¤¾ßÌṩÁËÁ½ÖÖ»¹«ÇÐÔ²µÄÒªÁì¡£¡£¡£¡£¡£

2.ÈôÊÇÎÒÃÇÒѾ֪µÀ¹«ÇÐÔ²°ë¾¶Ê±£¬£¬£¬£¬£¬£¬£¬£¬¿ÉÒÔÖ±½ÓʹÓÃÇе㡢Çе㡢°ë¾¶µÄÒªÁ죬£¬£¬£¬£¬£¬£¬£¬»æÖƹ«ÇÐÔ²¡£¡£¡£¡£¡£
ÊäÈëc£¬£¬£¬£¬£¬£¬£¬£¬¿Õ¸ñ£¬£¬£¬£¬£¬£¬£¬£¬t£¬£¬£¬£¬£¬£¬£¬£¬¿Õ¸ñ£¬£¬£¬£¬£¬£¬£¬£¬»®·ÖÔÚÁ½¸öÔ²»òÐíµÄÇеãλÖõã»÷һϣ¬£¬£¬£¬£¬£¬£¬£¬ÔÙÊäÈ빫ÇÐÔ²°ë¾¶£¬£¬£¬£¬£¬£¬£¬£¬¿Õ¸ñ£¬£¬£¬£¬£¬£¬£¬£¬»æÖƳö¹«ÇÐÔ²¡£¡£¡£¡£¡£ÈçͼËùʾ¡£¡£¡£¡£¡£



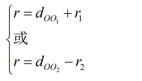
3.ÈôÊÇÎÒÃÇÖ»ÖªµÀ¹«ÇÐÔ²Ô²ÐÄλÖ㬣¬£¬£¬£¬£¬£¬£¬ÐèÒªÏÈËã³ö¹«ÇÐÔ²°ë¾¶¡£¡£¡£¡£¡£ÔÙÖØ¸´µÚ2²½µÄÀú³Ì£¬£¬£¬£¬£¬£¬£¬£¬»æÖƹ«ÇÐÔ²£¬£¬£¬£¬£¬£¬£¬£¬

ÔÚÉÏ·½µÄ²Ëµ¥À¸£¬£¬£¬£¬£¬£¬£¬£¬Ñ¡Ôñ±ê×¢-¶ÔÆë£¬£¬£¬£¬£¬£¬£¬£¬Å²ÓÃ¶ÔÆë±ê×¢¹¤¾ß£¬£¬£¬£¬£¬£¬£¬£¬µã»÷¹«ÇÐÔ²Ô²ÐĺÍÄÚÇÐÔ²Ô²ÐÄ£¬£¬£¬£¬£¬£¬£¬£¬¿Õ¸ñ£¬£¬£¬£¬£¬£¬£¬£¬±ê×¢³öÁ½Ô²ÐÄÖ®¼äµÄ¾àÀëd(OO1)¡£¡£¡£¡£¡£Öظ´£¬£¬£¬£¬£¬£¬£¬£¬±ê×¢³ö¹«ÇÐÔ²Ô²ÐĺÍÍâÇÐÔ²Ô²ÐÄÖ®¼äµÄ¾àÀëd(OO2)¡£¡£¡£¡£¡£


ƾ֤d(OO1)»òd(OO2)ÅÌËã³ö¹«ÇÐÔ²°ë¾¶r£¬£¬£¬£¬£¬£¬£¬£¬Öظ´µÚ2²½µÄÀú³Ì»æÖƳö¹«ÇÐÔ²¡£¡£¡£¡£¡£

Ч¹ûÈçÏ£ºÍê³É¡£¡£¡£¡£¡£

×ÅʵԲÓëÔ²Ö®¼äµÄÍâÇкÍÄÚ½ÓÉÐÓÐÐí¶àÖÖÇéÐΣ¬£¬£¬£¬£¬£¬£¬£¬ÐèÒªÎÒÃÇÔ½·¢ÉîÈëµÄѧϰ¡£¡£¡£¡£¡£ÕÆÎÕ²î±ðÌõ¼þÏµĻæÖÆÒªÁ죬£¬£¬£¬£¬£¬£¬£¬¶ÔÎÒÃÇѧϰCADºÜÊǵÄÓÐ×ÊÖú¡£¡£¡£¡£¡£
ÍÆ¼öÔĶÁ£ºÄ£¾ßCAD
ÍÆ¼öÔĶÁ£ºCAD¿ì½Ý¼ü
¡¤Ãâ·ÑÁì90Å·ÔªÃÅÆ±£üÖÐÍûÑûÄú¹²¸°ººÅµÍþ£º¹²¼û¹¤ÒµÊý×Ö»¯µÄÈ«Çòͼ¾°2026-02-05
¡¤ ²ú½ÌÈÚºÏÐÂʵ¼ù£ºÖÐÍûЯÊÖ¸»ÁÙ¾«¹¤¼°´¨ÄÚ¸ßУ¾ÙÐÐÊ׽조׿Խ¹¤³Ìʦ±¡±Éè¼Æ´óÈü2026-01-06
¡¤ ÖÐÍûÈí¼þÁÁÏàÕã½Æû³µÊýÖÇ»¯Äê»á£¬£¬£¬£¬£¬£¬£¬£¬ÒÔ3D+¸³ÄÜÆû³µÁ㲿¼þÐÐҵתÐÍÉý¼¶2026-01-04
¡¤ ÖÐÍûÈí¼þÓ뽨Áؼ¯ÍŸ濢սÂÔÏàÖú£¡¹²ÆôÎÀ³øÐÐÒµÊý×Ö»¯Ñз¢ÐÂÕ÷³Ì2026-01-04
¡¤ ÖÐÍûCAD 365ÈëÑ¡±ÏÂíÍþ²»¶¯²ú¿Æ¼¼50Ç¿£ºÔÆÔÉúÐͬ£¬£¬£¬£¬£¬£¬£¬£¬ÖØËÜÉè¼ÆÉú²úÁ¦Ð·¶Ê½2025-12-22
¡¤ ÖÐÍûÈí¼þÓë¸ñÁ¦µçÆ÷¸æ¿¢Õ½ÂÔÏàÖú£¬£¬£¬£¬£¬£¬£¬£¬¹²ÖþÖйúÖÆÔìÊý×Ö»¯×ªÐͱê¸Ë2025-12-22
¡¤ ²®ÀÊÌØ»úеÈË£ºCAXÒ»Ìå»¯Æ½Ì¨Í»ÆÆÉè¼Æ±ÚÀÝ£¬£¬£¬£¬£¬£¬£¬£¬¿ªÆôÖÇÄÜÖÆÔìÐÂÆªÕÂ2025-12-17
¡¤ Ä£¾ß¼Ó¹¤20Ä꣬£¬£¬£¬£¬£¬£¬£¬ËûÌìÌì¶¼ÔÚ¡°Ä¥¡±Ê²Ã´£¿£¿£¿£¿£¿£¿2025-12-15
¡¤ÍæÈ¤3D£ºÔõÑùÓ¦ÓÃÖÐÍû3D£¬£¬£¬£¬£¬£¬£¬£¬¿ìËÙÉè¼Æ»ùÕ¾ÌìÏß´«¶¯Âݸˣ¿£¿£¿£¿£¿£¿2022-02-10
¡¤È¤Íæ3D£ºÊ¹ÓÃÖÐÍû3DÉè¼Æ³µ¶¥ÕÊÅñ£¬£¬£¬£¬£¬£¬£¬£¬Îª»§ÍâÐÝÏÐÔöÌíÐÂ×°±¸2021-11-25
¡¤ÏÖ´úÓëÀúÊ·µÄÅöײ£º°¢¸ù͢ѧÉúÓ¦ÓÃÖÐÍû3D£¬£¬£¬£¬£¬£¬£¬£¬ÊÖÒÕÖØÏִ·ÒÆæ¡°·Éµú¡±Ì¹¿ËÔÐÍ2021-09-26
¡¤ÎÒµÄÖ鱦ÈËÉú£ºÎ÷°àÑÀÉè¼ÆÊ¦ÓÃÖÐÍû3DÉè¼Æ»ªÃÀÖ鱦2021-09-26
¡¤9¸öСÃîÕУ¬£¬£¬£¬£¬£¬£¬£¬Çл»ÖÁÖÐÍûCAD¾¹¿ÉÒÔÔÆÔÆË³º¨³©ËÙ 2021-09-06
¡¤ÔÀ´²åÍ·ÊÇÕâÑùÉè¼ÆµÄ£¬£¬£¬£¬£¬£¬£¬£¬¿´ÍêÄãѧ»áÁËÂ𣿣¿£¿£¿£¿£¿2021-09-06
¡¤ÍæÈ¤3D£ºÔõÑùÇÉÓÃÖÐÍû3D 2022й¦Ð§£¬£¬£¬£¬£¬£¬£¬£¬Éè¼Æ×¨ÊôÏà»ú£¿£¿£¿£¿£¿£¿2021-08-10
¡¤CADÌØÊâÊý×ÖÔõô²åÈ룿£¿£¿£¿£¿£¿2020-04-01
¡¤CADͼ²ãÖÎÀí¹¦Ð§ÔõôÓã¿£¿£¿£¿£¿£¿2020-03-23
¡¤CADÖÐÔõÑù½«Ö±Ï߸ijɵã»Ïß2019-06-04
¡¤CADÌî³äʱÔõÑùʹÁ½¸ö¹ØÁªµÄÌî³ä¹¤¾ß×ÔÁ¦±à¼£¿£¿£¿£¿£¿£¿2022-06-14
¡¤CADÔõÑùʹÓÃ×ø±êϵ2017-09-27
¡¤¼¤»îÌáÐÑ£º¡°¼¤»îʧ°Ü£¡²úÆ·¼¤»îÊýÄ¿Áè¼Ý¹ºÖõÄÊýÄ¿£¡¡±2017-02-15
¡¤CADͼµ¼ÈëµÄ12Öֱر¸¼¼ÇÉ2017-09-19
¡¤CAD»æÖÆ×°ÐÞÊ©¹¤Éè¼ÆÍ¼µÄµã²¦2017-09-06

Ãâ·ÑÁìÈ¡30Ì켤»îÂë
ÁªÏµ¿Í·þ
